一、 用途和特点
本系统作为买方公司项目设备的配套部分,为油缸进行摩擦力测试;
具体测试方案和要求如下
按照最新GB/T15622《液压缸试验方法》或ISO 10100-2020模块F方法进行测试。试验的正弦运动曲线见图,最大试验速度应达到0.05m/s。如果计算的试验振幅超过 100 mm,应以被试液压缸行程中点为原点,按振幅 100 mm 的正弦曲线进行试验。
1.1正弦静摩擦力试验:
油缸静摩擦力需要在油缸在正弦运动的状态下测试,曲线如下:




匀速动摩擦力试验:
试验匀速运动曲线见图,匀速运动段的速度vk应为0.05m/s,并应在试验振幅xs的5%之前达到。试验流量不能满足匀速运动段的速度vk=0.05m/s时,匀速运动段的速度由最大试验流量确定。


测试压力按照Pas=5 MPa、10 MPa、15 MPa、20 MPa和25 MPa(其许用工作压力以内进行试验)试验压力下,连续测量各两腔中的压力和活塞杆位置,可以同时测量三次以上,取平均值计入报告。
被试液压缸应水平安装,不得有任何额外的移动质量。
两腔的压力比近似为两腔工作面积比的倒数,以平衡两腔中的力。
活塞杆的试验振幅Xs计算公式:
考虑到长行程缸惯性较大,振幅最长不超过100mm。
摩擦力计算
被试液压缸具有相同工作面积A1和A2,实时摩擦力计算如下:

单杆缸
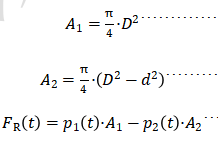
被试液压缸具有不同工作面积A1和A2,实时摩擦力计算如下:

摩擦力报告
摩擦力报告应记录:被试液压缸的特性参数、试验压力ps、试验速度vK、vs(m/s)、试验温度(℃)、摩擦力曲线、测量的静摩擦力和动摩擦力。
(1)静摩擦力
根据上述要求计算并绘制正弦运动试验条件下对应的摩擦力曲线(见图1)。
静摩擦力FH应依据正弦运动中两个运动方向变化点的测量值,取FH1、FH2中较大值(见图1)。


2)动摩擦力
根据上述要求计算并绘制匀速运动试验条件下对应的摩擦力曲线(见图2)。
动摩擦力FG应为匀速运动段摩擦力的算术平均值,取FG1、FG2中较大值(见图2)。

图2 匀速运动的摩擦力曲线